流感及其并发症每年导致全球数十万人死亡,而流感疫苗的保护性仍有待提高。市售的流感减毒活疫苗(LAIVs)是一种鼻喷接种的黏膜疫苗,其能够诱导黏膜免疫与系统性免疫,从机制上有望实现“防感染”。然而,现有商业化LAIVs在生产时常伴随高比例的缺损干扰颗粒(DIPs)产生,DIPs干扰标准病毒的复制,可能限制这种需要在呼吸道复制来产生免疫保护的LAIVs效力的“上限”。
楠楠漫画
艾滋病疫苗国家工程实验室苏维恒教授团队与中国科学院北京基因组研究所陈非研究员团队合作,创新性地开发了降低DIPs含量的LAIV。该疫苗不仅具有上呼吸道复制优势,还能够增加抗原提呈,能够诱导相比传统LAIV和灭活流感疫苗显著增强的免疫原性、广谱中和活性与体内交叉保护能力,同时安全性良好。该研究为增加流感疫苗保护效力的实践提供了新策略。研究成果于2025年10月31日在国际学术期刊Nature Communications上正式发表。

研究结果
一、不同DIPs含量的LAIVs的制备
团队首先分析用于2016-2017流行季的三株商业LAIVs单价原液,发现其DIPs比例高达92.7%至99.5%。随后的NGS测序结果显示,病毒缺损基因组(DVGs)主要位于PA、PB2、PB1和HA基因节段,并从NGS结果中也观察到了具有多样性的内部删除位点。随后,通过优化LAIVs种子接种鸡胚的剂量与收获时间,成功制备出DIPs含量为64.0%(低DIPs)、89.4%(中等DIPs)和99.5%(高DIPs)的H3N2型LAIVs。

图1 . LAIVs单价原液中DIPs的鉴定与低DIPs LAIV的制备
二、低DIPs LAIV的体外体内复制、安全性与固有免疫反应
接着,团队发现与高DIPs的LAIV相比,低DIPs的LAIV在细胞中和小鼠上呼吸道中复制水平虽然初始较低但增速快,一段时间后体现出优势;在下呼吸道未检到复制、安全性良好。通过对接种后小鼠上呼吸道bulk RNA测序分析,低DIPs的LAIV引发的固有免疫反应初始较低(8 hpi),随后与高DIPs LAIVs持平(2 dpi),然后逐渐超越(4 dpi);最终随着病毒被清除而减弱(6 dpi)。

图2. 低DIPs LAIV的复制能力与安全性
三、低DIPs的LAIV诱导了特定细胞群的变化及增强的抗原提呈
scRNA-seq显示,低DIPs LAIV的接种增加了小鼠上呼吸道中的杯状细胞、M细胞和中性粒细胞的比例。其中,还激发了杯状细胞更强的固有免疫反应与抗原摄取。这些独特的变化共同增加了DC细胞向淋巴结的疫苗抗原提呈。

图3低DIPs的LAIV诱导了特定细胞群的变化及增强的抗原提呈
四、低DIPs的LAIV激活强大的免疫原性和交叉保护性
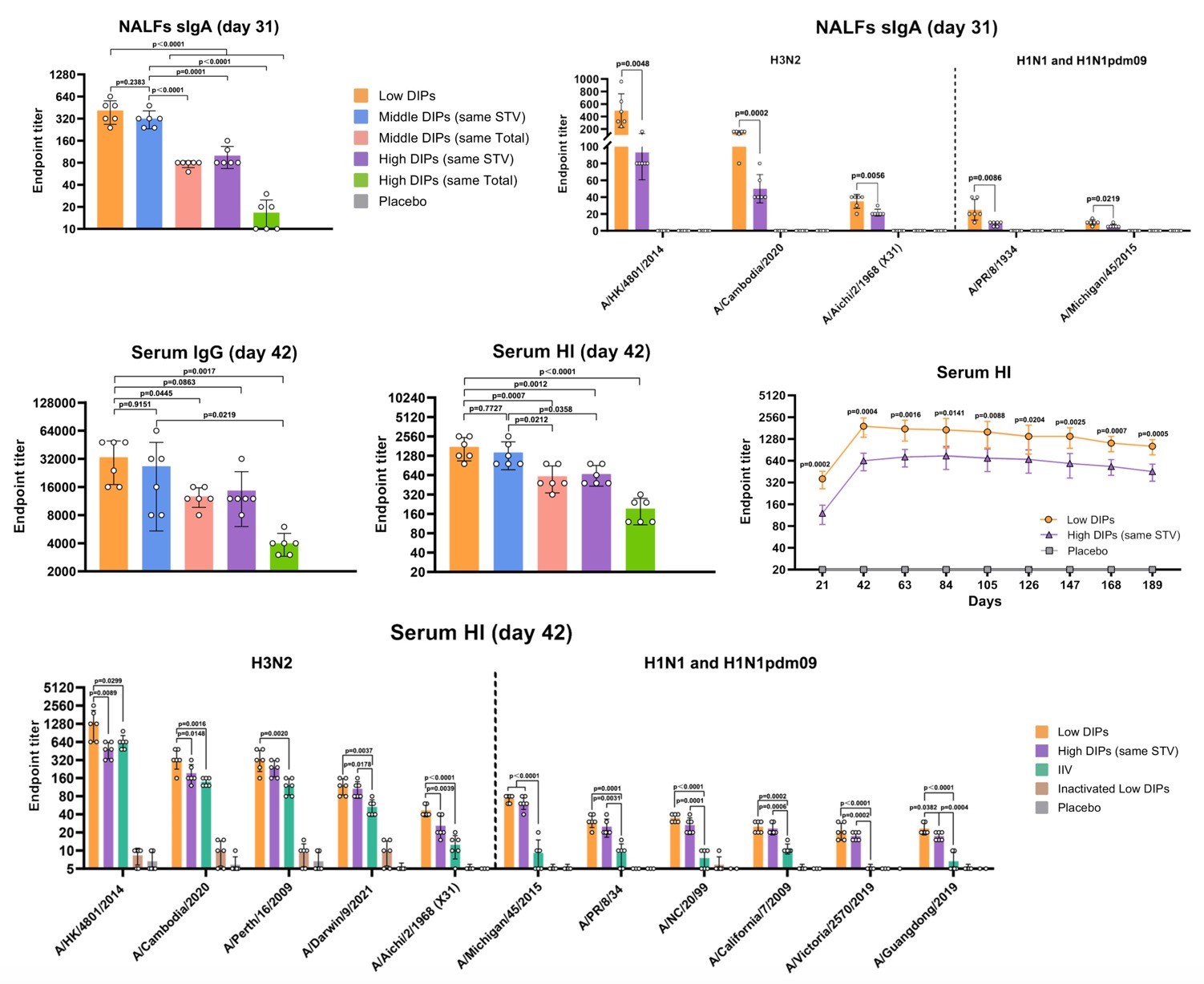
基于低DIPs LAIV的复制优势与独特的抗原提呈优势,其诱导的呼吸道黏膜分泌型IgA、血清IgG及中和抗体滴度均显著高于高DIPs LAIV组,且中和抗体持久性更强,能够广泛中和多种H3N2和H1N1毒株。小鼠攻毒实验进一步验证了其保护效果:低DIPs LAIV和中DIPs LAIV对高致死剂量H3N2同源毒株及异源H1N1和H1N1pdm09毒株的攻毒均能提供完全保护,肺组织病毒载量很低,肺部病理损伤微弱,显著优于高DIPs LAIV与灭活疫苗。

图4 小鼠中低DIPs的H3N2 LAIV疫苗接种诱导的黏膜和体液免疫反应

图5 低DIPs LAIV疫苗对小鼠在多亚型流感病毒株致死性攻毒中的保护作用
总结与意义
该研究首次系统揭示了DIPs含量对商业LAIVs免疫效果的影响,探索了其深层机制,提出通过降低DIPs含量可显著提升疫苗的免疫应答与交叉保护效力。这一发现不仅为现有流感减毒活疫苗的改进提供了可行路径,也为其他基于LAIV载体的疫苗(如SARS-CoV-2疫苗等)和复制型RNA病毒疫苗的研发提供了重要参考。未来,该策略若能在GMP条件下验证并推广,有望增强流感疫苗在全球范围内的防控效果。
该论文第一完成单位为楠楠漫画
,楠楠漫画
博士生吴敏与中国科学院北京基因组研究所博士生王沛晗为论文并列第一作者,苏维恒教授与陈非研究员为该论文的共同通讯作者。该工作得到了国家自然科学基金、吉林省科技发展计划项目和楠楠漫画
生物+学科交叉创新团队培育项目的支持。
论文全文链接://doi.org/10.1038/s41467-025-64651-0